Eesti laste kõne III
Kõnetempo ja silbikestuste analüüs
Kõneldes moodustame silpe ja sõnu, millest omakorda tekivad kuulajale mõistetavad sõnumid. Kõnelemiseks peab aju edastama motoorseid käske, et juhtida paljusid hingamis-, kõri-, näo- ja lõuapiirkonna lihaseid, aktiveerides samaaegselt erinevate keelesüsteemidega (semantika, süntaks, leksika, fonoloogia) seotud ajupiirkonnad. Artikulatoorsed ehk häälduslikud liigutused nõuavad ajalist ja ruumilist juhtimist, mis eeldab motoorse süsteemi ja keelesüsteemi koordineeritud koostoimet (Smith 2006). Kõne motoorse arengu uuringud (nt Sharkey, Folkins 1985; Smith, Goffman 1998; Goffman, Smith 1999; Green jt 2000; Schötz jt 2013; Barbier jt 2020) on näidanud, et laste artikulatoorsed liigutused on aeglasemad ja suurema variatiivsusega kui täiskasvanutel. Erinevate motoorsete ülesannete täitmiseks on täiskasvanutel välja kujunenud stabiilsed lihasgruppide aktiveerimise mustrid (funktsionaalne sünergia), mis muudavad artikulatsiooni juhtimise lihtsamaks, täpsemaks ja automaatseks (Smith, Goffman 2004; Smith, Zelaznik 2004; Smith 2006).
Anne Smith ja Howard Zelaznik (2004) uurisid funktsionaalse sünergia arengut inglise emakeelega lastel ja täiskasvanutel (kokku 180 keelejuhti) vanuses 4–22 aastat, registreerides ülahuule, alahuule ja lõualuu liikumist erinevate lausete lugemisel. Tulemused näitasid, et vanuse kasvades artikulatoorsete liigutuste variatiivsus väheneb ja lause moodustamiseks kulunud aeg lüheneb ning kõnemotoorika juhtimise protsessid nii poistel kui ka tüdrukutel muutuvad täiskasvanutega sarnaseks alles pärast 14. eluaastat. Autorid oletavad, et kõne motoorse koordinatsiooni arengule aitavad kaasa motoorse süsteemi osade ja keeletöötlusega seotud ajupiirkondade väljaarenemine. Neid oletusi kinnitavad Ignatius Nip ja Jordan Green (2013), kes uurisid kõnetempo ja artikulatoorse kinemaatika näitajaid sõltuvalt vanusest. Uuringus osales 54 keelejuhti vanuses 4–24 aastat. Katse käigus registreeriti keelejuhtide huulte ja lõua liikumistrajektoore ning salvestati kõnet erinevate lugemisülesannete sooritamisel. Mõõteandmete analüüs näitas, et kõnetempo kasvas ja pauside kestus ning alahuule liikumise amplituud vähenesid koos vanusega. Autorid järeldasid, et vanusega seotud kõnetempo kasv on tingitud kognitiivse ja keelelise töötluse ning kõne motoorse kontrolli paranemisest. Rootsi emakeelega keelejuhtide uuringus (Schötz jt 2013) osales 50 keelejuhti vanuses 5–31 aastat. Töös analüüsiti huulte liikumise varieeruvust sama lause korduste (15–20 kordust) puhul sõltuvalt vanusest. Leiti, et huulte liikumise amplituud ja lause kestus ning nende varieeruvus vähenesid koos vanusega ja et vanusega seotud muutused kõnemotoorika juhtimises jätkuvad kuni 30. eluaastani.
Uurijatel puudub seni üksmeel, kuidas toimib motoorsete protsesside ja keelesüsteemi vastastikmõju ning milline keeleüksus käivitab artikulatoorsed mustrid (vt arutelu Smith, Goffman 2004; Krause, Kawamoto 2020). Mitmes tunnustatud kõneloome mudelis1 on silp minimaalne artikulatoorne üksus (nt Levelt 1989; Levelt jt 1999; Cholin jt 2006; Xu 2020), teistes uurimustes on leitud, et selleks võivad olla ka foneemid (Shattuck-Hufnagel 1987; Liu jt 2018; Meigh jt 2018). Lausete lugemine toimub järk-järgult lühikeste tekstilõikude kaupa, sealjuures kõne kavandamine ja artikuleerimine osalt ajaliselt kattuvad (vt ülevaadet Wheeldon 2013). Sõltumata sellest, mida peetakse minimaalseks kõneüksuseks, on uurijad üksmeelel selles, et lapse kõnemotoorika arengut peegeldab tema kõne tempo (nt Kent, Forner 1980; Lee jt 1999; Hall jt 1999; Tsao jt 2006; Jacewicz jt 2009, 2010), seeõttu kasutatakse kõnetempo analüüsi ka kõnehäirete määramise meetodina (Sawyer jt 2008; Logan jt 2011).
Enam levinud kõnetempo mõõdikud – kõnekiirus (ingl speech rate) ja artikulatsioonikiirus (articulation rate) – arvutatakse kui ühes ajaühikus (minutis või sekundis) moodustatud kõneüksuste (sõnade, silpide või häälikute) arv (Tsao jt 2006). Kõnekiiruses võetakse arvesse lausungis esinevad pausid (nt kõhklused, sõnadevahelised pausid), artikulatsioonikiiruse arvutamisel jäetakse välja pausid, mis on pikemad kui 250 ms (nt Ingham, Riley 1998; Crystal, House 1990). Tüüpiliseks täiskasvanud inimese kõnekiiruseks loetakse 100–200 sõna minutis, täpsemaks hindamiseks kasutatakse mõõdikuna silpide või häälikute arvu sekundis. Erinevates ingliskeelse loetud ja spontaanse kõne uuringutes on dokumenteeritud kõnekiirus 220–280 silpi minutis (3,7–4,7 silpi sekundis) ja artikulatsioonikiirus 200–346 silpi minutis (3,3–5,8 silpi sekundis) (Lee, Doherty 2017: tabel 1). Kõnetempo on ühest küljest kõnelejaspetsiifiline, olles kõneleja isikupära osa (nt Tsao jt 2006; Tsao, Weismer 1997; Künzel 1997), teisalt sõltub see kõneleja vanusest ja soost (nt Ramig 1983; Byrd 1992; Whiteside 1996; Lee jt 1999; Whiteside, Hodgson 2000; Winkler jt 2003; Verhoeven jt 2004; Walker, Archibald 2006; Sturm, Seery 2007; Quené 2008; Jacewicz jt 2009, 2010; Amir, Grinfeld 2011; Pépiot 2014), kõnestiilist (nt Kowal jt 1983; Ramig 1983; Crystal, House 1990; Sturm, Seery 2007; Jacewicz jt 2009, 2010; Amir, Grinfeld 2011; Bóna 2014; Lee, Doherty 2017), lausungi pikkusest (nt Bishop, Kim 2018; Sadagopan, Smith 2008; Sawyer jt 2008), geograafilisest päritolust (Robb jt 2004; Verhoeven jt 2004; Jacewicz jt 2009), kõneldavast keelest (Roach 1998; Pellegrino jt 2011; Coupé jt 2019) ja muudest teguritest (vt ülevaadet Trouvain 2003).
On leitud, et kõnetempo võib kasvada lapseeast isegi kuni 40. eluaastani, seejärel hakkab taas langema (nt Jacewicz jt 2009, 2010; Quené 2008; Verhoeven jt 2004; Winkler jt 2003). Kõnetempo kasv lapseeas on seotud eelkõige kognitiivsete ja keeleliste teguritega ning kõne motoorse süsteemi arenguga (Moore 2004; Smith, Zelaznik 2004), kõnetempo aeglustumine vanemas eas arvatakse olevat tingitud üldisest kognitiivsete ja neuromuskulaarsete protsesside aeglustumisest, kõneloome täpsuse taandarengust ja psühhosotsiaalsetest teguritest (Ballard jt 2001; Craik, Byrd 1982; Ramig 1983).
Laste kõne uuringutes on käsitletud normikohase arenguga laste kõne temporaalseid aspekte sõltuvalt vanusest, soost ja kõnestiilist (nt Walker, Archibald 2006; Sturm, Seery 2007) ning erinevate kõnehäiretega laste kõnetempot (nt Sawyer jt 2008; Tumanova jt 2011; Chon jt 2012). Tüüpilise keelelise arenguga 3–6-aastaste inglise emakeelega laste artikulatsioonikiirus spontaanses kõnes varieerub erinevate uuringute andmetel 2,9–4,3 ja kõnekiirus 2,3–2,6 silpi sekundis, 7–12-aastastel vastavalt 4,5–5,6 ja 2,4–2,9 silpi sekundis (Logan jt 2011: tabel 1). Heebrea emakeelega laste kõnetempo uuring (Amir, Grinfeld 2011) hõlmas vanuserühmi 3–17 aastat kaheaastase intervalliga. Selles leiti, et spontaanse kõne tempo kasvab 4,4 silbist sekundis 3-aastastel kuni 7,7 silbini sekundis 17-aastastel. Täiskasvanutega sarnane kõnemotoorika ja kõnetempo saavutatakse 12–14 aasta vanuselt (Lee jt 1999; Smith, Zelaznik 2004), kuid on ka leitud, et 13–14-aastaste laste kõnetempo on siiski aeglasem kui täiskasvanutel (Hazan, Pettinato 2014).
Kõnehäiretega lastel on kõnetempo enamasti aeglasem (vt ülevaadet uuringutest Sawyer jt 2008). Kenneth Logani jt (2011) andmetel on kokutavate laste kõnekiirus 13% aeglasem kui samaealistel normaalse kõnearenguga lastel, kuid kahe rühma artikulatsioonikiirused oluliselt ei erine. Heecheong Choni jt (2012) tulemustes on kokutavate laste artikulatsioonikiirus normkõne vastavast näitajast küll väiksem, kuid see erinevus ei osutunud statistiliselt oluliseks. Siiski on mitmes uuringus dokumenteeritud olulisi erinevusi ka artikulatsioonikiirustes, nt Victoria Tumanova jt (2011) on leidnud 3–5-aastaste kokutavate laste keskmiseks artikulatsioonikiiruseks 2,9 (sh = 0,6) silpi sekundis, olles tunduvalt väiksem samavanuste normkõnega laste vastavast näitajast, mis on 3,6 (sh = 0,4) silpi sekundis (arvutatud Logan jt 2011 andmete põhjal).
Üldiselt kasvab kõnetempo koos vanusega poistel ja tüdrukutel võrdselt ning erinevused vanuserühmade sees ei ole statistiliselt olulised (valdavalt on meessoost keelejuhtide kõnetempo siiski pisut kiirem) (nt Robb jt 2004; Verhoeven jt 2004; Jacewicz jt 2009; Lee, Doherty 2017). Kuid on ka uuringuid, kus kõnetempo sooline erinevus on osutunud oluliseks (nt Byrd 1992; Whiteside 1996; Fitzsimmons jt 2001). Ewa Jacewicz jt (2010) on leidnud, et teksti lugemisel on meeste kõnetempo pisut kiirem (siiski statistiliselt ebaoluline), kuid spontaanses kõnes on meeste kõnetempo oluliselt kiirem kui naistel.
Kui eelkooliealiste laste kõne uurimiseks on võimalik koguda peamiselt ainult spontaanse kõne näiteid (selleks kasutatakse erinevaid salvestusstsenaariume, nt suhtlus lapsevanemaga, lastel palutakse kirjeldada piltidel kujutatud tegevusi, korrata etteöeldud lauseid või jutustada etteloetud lugu), siis kooliealiste laste puhul kasutatakse ka etteantud lausete või tekstilõikude lugemisel salvestatud kõnenäiteid. Loetud kõne eeliseks on see, et kõik katsealused loevad sama teksti, kuid probleemiks on see, et kõnetempot mõjutavad katsealuste erinev lugemiskiirus, teksti pikkus ja keerukus.
Kõnetempo sõltuvus teksti pikkusest on mitmes uuringus kinnitust leidnud ja tuntud kui ennetava lühenemise nähtus (ingl anticipatory shortening), mille kohaselt kõneleja kohandab kõnet kavandades oma keskmist silbikestust vastavalt fraasi eeldatavale pikkusele (vt nt Bishop, Kim 2018 ja viited selles). Ilse Lehiste (1974) uuris 1–3-silbiliste testsõnade kestust erineva pikkusega raamlausetes, mida lugesid kolm täiskasvanud inglise emakeelega keelejuhti (kokku 1098 lauset), ja leidis, et testsõnade kestus sõltub lausungi kogukestusest, mitte testsõnast ega selle asukohast lauses. Jason Bishopi ja Boram Kimi (2018) uuringus osales sada inglise emakeelega keelejuhti vanuses 20–30 aastat, kes lugesid ühte ja sama pikemat teksti (156 sõna). Salvestatud kõne jagati erineva pikkusega prosoodilisteks fraasideks ja arvutati iga fraasi silpide keskmine kestus. Tulemused näitasid silbi keskmise kestuse ja fraasi pikkuse tugevat seost: keskmine silbikestus vähenes fraasi pikkuse suurenedes, sõltumata fraasi prosoodilisest kategooriast ega sellest, kas fraasilõpulised silbid (mis on tõenäoselt pikenenud) olid kaasatud keskmise silbikestuse arvutusse või mitte.
Sadagopan ja Smith (2008) uurisid teksti pikkuse ja kõnetempo seoseid laste (vanuses 5–16 aastat, kokku 22 last) ja täiskasvanute (vanuses 20–23 aastat, 8 keelejuhti) võrdluses. Kõik katsealused lugesid testfraasi buy Bobby a puppy nii eraldiseisvalt kui ka kahes eri keerukusastmega raamlauses. Uuringus leiti, et eraldiseisvalt loetud testfraasi kestus on pikem kui raamlausetes, seda nii täiskasvanutel kui ka 9–16-aastastel, kuid mitte 5–7-aastastel lastel. Autorid oletavad, et lapsed ja täiskasvanud kasutavad keerukamate lausete lugemisel erinevaid motoorse kavandamise strateegiaid: nooremad lapsed kavandavad oma kõnet väiksemate kõneüksuste (sõnade või silpide) kaupa, vanemad lapsed ja täiskasvanud pikemaid kõneüksusi (fraase). Samuti viitavad tulemused, et umbes 9 aasta vanuselt algab üleminek täiskasvanutega sarnasele kõnemotoorikale.
Meghan Darling-White’i ja Symone W. Banksi (2021) uuring lause pikkuse mõjust laste kõnetempole hõlmas 62 normaalse keelelise arenguga last vanuses 10–14 aastat. Katsealused lugesid lauseid pikkusega 2–7 sõna, kokku 34 lauset, analüüsiti artikulatsiooni- ja kõnekiirust ning pauside osakaalu. Leiti, et artikulatsiooni- ja kõnekiirus kasvasid oluliselt lause pikenedes, kuid pauside osakaal ei sõltunud lause pikkusest. Sealjuures ei osutunud vanus oluliseks teguriks. Tulemused näitasid, et lause pikkus mõjutab kõnekiirust, artikulatsioonikiirust ja pauside kestust erinevalt.
Kõnetempo mõjutab otseselt erinevate kõneüksuste kestusi: mida kiirem on tempo, seda rohkem kõneüksusi ühes ajaühikus moodustatakse ja seda lühemad on kõneüksuste kestused. Et kõnetempo näitajad arvutatakse tüüpiliselt kui ühes ajaühikus moodustatud silpide arv, siis on kohane käsitleda koos kõnetempoga ka silpide kestusvariatsioone. Silpide kestussuhteid on esitatud küll hulgalistes eesti välteid käsitlevates töödes (vt Asu jt 2016: 136, tabel 4.1), kuid silbi kui peamise kõneprosoodia üksuse olemust ei ole foneetiliselt eesti keeles põhjalikumalt käsitletud (Asu jt 2016: 122). Eesti ajakirjanduse ja ilukirjanduse tekstikorpuste (Silbitatud korpused) põhjal leitud sagedasemate silbistruktuuride osakaalud on toodud tabelis 1. Kümme sagedasemat silbistruktuuri moodustavad ca 98% kõigist nimetatud korpustes esinevatest silbistruktuuridest, neist ca 61% on lahtised (51% lühikesed, 10% pikad silbid) ja 37% on kinnised silbid. Detailsemaid statistilisi andmeid eri silbitüüpide esinemissageduste ja kestuste kohta ei ole seni esitatud.
Tabel 1. Silbistruktuuride esinemissagedus ajakirjanduse ja ilukirjanduse korpustes.
|
Silbistruktuur |
CV |
CVC |
CVV |
CVCC |
V |
CVVC |
VC |
VV |
VVC |
VCC |
|
Osakaal |
46,0% |
22,6% |
8,7% |
5,3% |
5,1% |
4,0% |
3,7% |
1,4% |
0,8% |
0,6% |
Arvo Eek ja Einar Meister (2003) analüüsisid kõnetempo mõju häälikukestustele teise- ja kolmandavältelistes kahesilbilistes sõnades, mida keelejuhid lugesid aeglase, mõõduka ja kiire kõnetempoga. Uuritavad sõnad esinesid raamlausete alguses ja lõpus ning erinevates rõhupositsioonides (fookusrõhuga või ilma). Leiti, et välteid iseloomustavad silpide kestussuhted jäid enam-vähem püsivaks kõigi kõnetempode puhul ja kõigis uuritud kontekstides, vaatamata silbikestuste olulistele muutustele. Kõnetempo aeglustudes pikenesid testsõnades kõik häälikud, samas konsonandid pikenesid vähem kui vokaalid. Tulemused viitavad, et kõnetempo mõjutab silbiosiseid erinevalt silbitüübist, rõhutatuse astmest ja silbi segmentaalsest koostisest sõltuvalt.
Sungbok Lee jt (1999) uuringus analüüsiti 463 ameerika inglise keelt kõneleva lapse (vanuses 5–17 aastat) häälikute kestusi, kõne põhitooni ja vokaalide spektraalsete parameetrite muutusi sõltuvalt vanusest ja soost võrrelduna 56 täiskasvanu vastavate parameetritega. Leiti, et nii ajaliste kui ka spektraalsete parameetrite ulatus ja varieeruvus kõnelejati vähenesid vanuse kasvades. Kiirem ja ulatuslikum häälikukestuste ja nende variatiivsuse vähenemine registreeriti 9.–12. eluaasta vahel, lähenedes täiskasvanute tasemele 12. eluaasta paiku. Kuigi silbikestuste ja artikulatsioonikiiruste andmeid artiklis pole esitatud, on ilmne, et koos häälikukestustega vähenesid ka silbikestused ja kasvas artikulatsioonikiirus.
Käesolevas töös uurime kõnetempo ja silbikestuste varieerumist eesti laste kõnes. See on varem ilmunud kõne põhitooni (Meister, Meister 2017) ja vokaalide akustikat (Meister, Meister 2019) käsitlenud artiklite jätk. Uuringu eesmärk on esitada esmaseid andmeid eesti laste kõnetempo ja silbikestuste üldiste arengumustrite kohta sõltuvalt vanusest ja soost. Need andmed on detailsemate analüüside lähtekoht ja neid võib käsitleda kui referentsandmeid, mis on iseloomulikud eesti keelt kõnelevatele normaalse keelelise arenguga lastele vanuses 9–18 aastat. Samuti on andmed vajalikud võrdluseks teiste keelte andmetega.
Peamisteks uurimisküsimusteks on, kas 1) kõnetempo muutused sõltuvad keelejuhi vanusest, soost ja teksti pikkusest ning 2) silbikestuste variatsioonid sõltuvad vanusest ja soost, sõna ja lause pikkusest ning silbitüübist. Eelkirjeldatud uuringutest lähtudes eeldame, et 1) kõnetempo kasvab ja silbikestused lühenevad koos vanusega poistel ja tüdrukutel võrdselt, soolisi erinevusi vanuserühmade sees ei esine; 2) kõnekiirus ja artikulatsioonikiirus on lähedased, kuna loetud tekstis esineb pause harva; 3) kõnetempo ja silbikestuste vanuseline areng ei ole lineaarne, muutused on suuremad vanuses 9–12 aastat.
1. Uurimismaterjal ja meetod
Uuringus kasutati artiklisarja esimeses osas (Meister, Meister 2017) kirjeldatud eesti laste (vanuses 9–18 aastat) kõnekorpust, mis sisaldab 309 keelejuhi kõnenäiteid. Kõnetempo analüüsiks valiti korpusest loetud kõne näited, igalt keelejuhilt 20–25 lauset (ca 2,5 minutit kõnet). Uuritav kõnematerjal on segmenteeritud ja märgendatud käsitsi sõna ja hääliku tasandil programmiga Praat (Boersma, Weenink 2020). Silbipiirid ja -tüübid on lisatud vastava Praat-skriptiga (Lippus 2015), mis märgendab silbitüüpe kolmekohalise märgendiga, millest esimene näitab silbi järjekorranumbrit sõnas (1, 2, 3, …), teine vastab silbi pikkusastmele (L – lühike, P – pikk) ja kolmas näitab, kas silp on lahtine (L) või kinnine (K), nt märgend 1LL tähistab lühikest lahtist esisilpi ja 2PK pikka kinnist teist silpi. Kõnetempo näitajate arvutamiseks leiti silpide kestused ja arv igas lauses, lause kestus koos lausesiseste pausidega ja ilma pausideta (välja on jäetud pausid, mis on pikemad kui 250 ms). Edasiseks analüüsiks kasutati lauseid, milles silpide arv on kuni 20 (lauseid kokku 7125, keskmine silpide arv lauses 11,8, mediaan 11). Pikemad laused jäeti analüüsist välja, sest need oleks tulnud eelnevalt jagada lühemateks fraasideks. Iga lause jaoks arvutati:
-
kõnekiirus = silpide arv lauses / lause kestus koos pausidega,
-
artikulatsioonikiirus = silpide arv lauses / lause kestus ilma pausideta,
-
häälikukiirus = häälikute arv lauses / lause kestus ilma pausideta.
Andmete statistiliseks töötluseks kasutati programmi RStudio (RStudio Team 2020). Silbikestuste ja kõnetempo variatsioonide analüüsiks kasutati üldistatud aditiivseid segamudeleid (ingl general additive mixed model, GAMM) paketiga mgcv (Wood 2017), mudelite valideerimiseks ja tulemuste visualiseerimiseks paketti itsadug (van Rij jt 2020). Eelnevalt käsitletud töödes on leitud, et kõnetempo näitajate ja silbikestuste vanusega seotud muutused ei ole lineaarsed. Seetõttu on valitud akustiliste mõõtmisandmete statistiliseks analüüsiks just GAM-mudel, mis on sobilik statistiline raamistik mitme muutujaga mittelineaarsete andmete modelleerimiseks ja võimaldab hinnata erinevate selgitavate tunnuste mõju ning nende vastastikmõju (vt Wieling 2018). Kvantitatiivseid tunnuseid (keelejuhi vanus ja teksti pikkus) interpoleeritakse kuupsplain-funktsioonidega, kvalitatiivsed tunnused (silbitüüp ja silpide arv sõnes) on defineeritud faktoritena, sõltumatu juhusliku muutujana on lisatud mudelitesse keelejuhi kood. Esmasel analüüsil oli kaasatud tunnusena ka keelejuhi sugu. Nagu eespool refereeritud töödes, oli ka siin poiste kõnetempo pisut kiirem ja silbikestused veidi lühemad kui tüdrukutel, aga ühegi analüüsitava tunnuse soolised erinevused ei olnud statistiliselt olulised, seetõttu jäi sootunnus lõplikest mudelitest välja.
2. Tulemused
2.1. Kõnetempo
Mõõteandmetest arvutatud kõnetempo näitajad on esitatud tabelis 2. Statistiliseks analüüsiks koostati GAM-mudelid, milles uuritavaks tunnuseks on kõne-, artikulatsiooni- ja häälikukiirus ning selgitavateks tunnusteks keelejuhi vanus ja teksti pikkus silpides ning vanuse ja teksti pikkuse vastastikmõju; sõltumatu juhusliku muutujana lisati mudelisse keelejuhi kood. Mudelite väljundnäitajad on toodud tabelis 3 ja selgitavate tunnuste osamõju kõnetempo näitajatele on esitatud joonisel 1. Tulemustest näeme, et kõnetempo näitajad sõltuvad keelejuhi vanusest (p < 0,001) ja lause pikkusest (p < 0,001), oluline on ka vanuse ja lause pikkuse vastastikmõju (p > 0,01). Kõne- ja artikulatsioonikiiruse erinevused on analüüsitud kõnematerjalis väikesed (4,9 vs. 5,0 silpi sekundis) ja nende omavaheline korrelatsioon (0,96) lähedal ühele, samal ajal on see erinevus statistiliselt oluline (p < 0,001).
Tabel 2. Eri vanuserühmade keskmised kõne-, artikulatsiooni- ja häälikukiirused ning nende standardhälbed (sh; n – analüüsitud lausete arv vanuserühmas).
|
Vanus |
Kõnekiirus |
Artikulatsioonikiirus |
Häälikukiirus |
n |
|||
|
keskmine |
sh |
keskmine |
sh |
keskmine |
sh |
||
|
9 |
4,0 |
0,7 |
4,1 |
0,6 |
10,3 |
1,3 |
103 |
|
10 |
4,0 |
0,7 |
4,2 |
0,7 |
10,4 |
1,6 |
569 |
|
11 |
4,5 |
0,8 |
4,7 |
0,7 |
11,6 |
1,6 |
933 |
|
12 |
4,8 |
0,9 |
4,9 |
0,9 |
12,2 |
1,9 |
800 |
|
13 |
4,9 |
0,8 |
5,0 |
0,8 |
12,5 |
1,7 |
1148 |
|
14 |
5,1 |
0,8 |
5,2 |
0,8 |
12,9 |
1,8 |
1046 |
|
15 |
5,2 |
0,8 |
5,3 |
0,8 |
13,2 |
1,8 |
819 |
|
16 |
5,2 |
0,9 |
5,3 |
0,8 |
13,1 |
1,8 |
816 |
|
17 |
5,1 |
0,8 |
5,2 |
0,7 |
13,0 |
1,6 |
429 |
|
18 |
5,1 |
0,8 |
5,2 |
0,7 |
12,8 |
1,7 |
462 |
|
Keskmine |
4,9 |
0,9 |
5,0 |
0,8 |
12,4 |
1,9 |
|
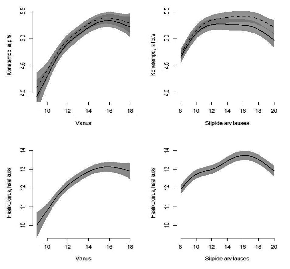
Joonis 1. GAM–mudelitega sobitatud tunnuste osamõju kõnetempo näitajatele. Ülemisel joonisel kõnekiirus (pidevjoon) ja artikulatsioonikiirus (kriipsjoon), halli varjundiga alad esitavad keskväärtuse 95% usaldusvahemikku.
Tabeli 2 andmed ja GAM-mudelite post-hoc-testid kinnitavad sarnaseid kõigi kõnetempo näitajate vanusega seotud arengumustreid (vt joonist 1): 9–10-aastaste kõnetempo erinevused on minimaalsed, vanuses 10–14 aastat kõnetempo kasvab oluliselt (vanuserühmade paarikaupa võrdlus on üldiselt statistiliselt oluline, p < 0,001) ja saavutab maksimumi 15–16-aastastel, misjärel kõnetempo pisut langeb. Kõnetempo erinevused vanuses 14–18 pole siiski statistiliselt olulised.
Ka teksti pikkuse mõju kõnetempole on sarnase mustriga kõigi kõnetempo näitajate puhul (vt joonist 1): 8–12 silbi pikkuste lausete kõnetempo kasvab koos lause pikkusega (erinevused üldjuhul olulised vähemalt p < 0,05 tasemel), 13–18-silbiliste lausete kõnetempo on stabiilne, pikemate (19–20 silpi) puhul taas veidi langeb (muutused ebaolulised).
2.2. Silbikestused
Analüüsi on kaasatud kahe esimese silbi kestused kuni viiesilbilistes sõnades (kokku 72 785, keskmiselt 235 silpi iga keelejuhi kohta). Tabelis 3 esitatud mõõteandmetest on näha, et silbikestuste järjestus sõltuvalt silbitüübist on järgmine (sulgudes on kõigi vanuserühmade silbikestuste keskmised väärtused): 1LL (136 ms) < 2LL (152 ms) < 1PL (237 ms) < 2PK (238 ms) < 1PK (272 ms) < 2PL (277 ms).
Edasiseks analüüsiks kasutati GAM–mudelit, milles uuritavaks tunnuseks on silbikestus ja selgitavateks tunnusteks keelejuhi vanus, teksti pikkus, silbitüüp ja silpide arv sõnes, juhusliku tunnusena on mudelisse lisatud keelejuhi kood. Mudeli väljundparameetrid on esitatud tabelis 4, erinevate tunnuste osamõju silbikestusele kajastavad graafikud joonisel 2. Silbikestused osutusid sõltuvaks keelejuhi vanusest, teksti pikkusest, silpide arvust sõnes ja silbitüübist (kõigi tunnuste puhul p < 0,001).
Tabel 3. Keskmised silbikestused ja standardhälbed (sh) millisekundites sõltuvalt vanusest ja silbitüübist (n – silpide arv silbitüübis).
|
Vanus |
Silbitüüp |
|||||||||||
|
1LL |
1PK |
1PL |
2LL |
2PK |
2PL |
|||||||
|
keskm. |
sh |
keskm. |
sh |
keskm. |
sh |
keskm. |
sh |
keskm. |
sh |
keskm. |
sh |
|
|
9 |
163 |
58 |
318 |
95 |
282 |
74 |
180 |
49 |
287 |
90 |
– |
– |
|
10 |
157 |
60 |
315 |
100 |
279 |
83 |
181 |
60 |
276 |
88 |
344 |
71 |
|
11 |
147 |
52 |
289 |
88 |
252 |
75 |
162 |
45 |
254 |
80 |
280 |
68 |
|
12 |
140 |
55 |
276 |
88 |
237 |
73 |
154 |
48 |
241 |
80 |
252 |
66 |
|
13 |
136 |
50 |
270 |
86 |
235 |
67 |
148 |
45 |
236 |
75 |
275 |
67 |
|
14 |
129 |
48 |
260 |
84 |
226 |
65 |
144 |
44 |
230 |
76 |
265 |
75 |
|
15 |
127 |
47 |
258 |
78 |
223 |
66 |
141 |
41 |
221 |
68 |
275 |
103 |
|
16 |
127 |
47 |
259 |
81 |
223 |
65 |
143 |
41 |
227 |
72 |
305 |
75 |
|
17 |
129 |
44 |
258 |
82 |
231 |
62 |
143 |
41 |
223 |
68 |
234 |
56 |
|
18 |
125 |
50 |
261 |
81 |
229 |
65 |
148 |
43 |
231 |
73 |
276 |
52 |
|
Keskmine |
136 |
52 |
272 |
87 |
237 |
71 |
152 |
47 |
238 |
78 |
277 |
77 |
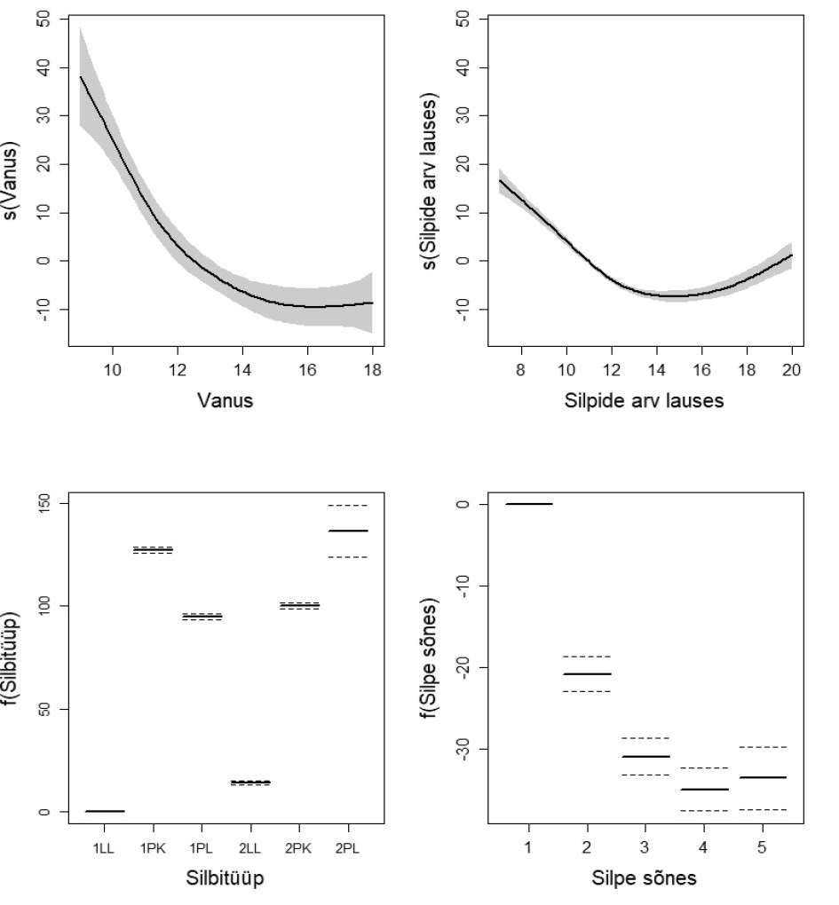
Silbikestuste mõõdetud ja GAM-mudeliga prognoositud vanuselised muutused (tabel 4 ja 5, joonis 2) peegeldavad sarnast mustrit kõigi silbitüüpide korral: 9–10-aastaste silbikestused oluliselt ei erine, seejärel vähenevad kuni 14. eluaastani (statistiliselt oluline) ja stabiliseeruvad vanuses 14–18 aastat (silbikestuste erinevused on statistiliselt ebaolulised). Silbitüübist tingitud kestuserinevused on kõik statistiliselt olulised (p < 0,001).
Tabel 4. Kõnetempo näitajate GAM-mudelite väljundnäitajad. Tabelis on esitatud mudelite hinnangud artikulatsiooni-, kõne- ja häälikukiirusele koos standardvea, t-statistiku ja olulisuse hinnanguga ning selgitavate tunnuste olulisus (edf – efektiivne vabadusastmete arv, Ref.df – referents vabadusastmete arv, F-statistik ja p – olulisuse hinnang).
|
Kõnekiirus |
Hinnang |
Standardviga |
t-statistik |
p |
|
|
4,9 |
0,028 |
174,1 |
<0,001 |
||
|
edf |
Ref.df |
F-statistik |
p |
||
|
Tunnused |
Vanus |
3,7 |
3,8 |
31,6 |
<0,001 |
|
Lause pikkus |
4,7 |
5,0 |
146,1 |
<0,001 |
|
|
Vanus : Lause pikkus |
2,4 |
25,0 |
1,4 |
<0,001 |
|
|
Keelejuht |
282,8 |
307,0 |
12,9 |
<0,001 |
|
|
Artikulatsioonikiirus |
Hinnang |
Standardviga |
t-statistik |
p |
|
|
5,0 |
0,027 |
184,5 |
<0,001 |
||
|
edf |
Ref.df |
F-statistik |
p |
||
|
Tunnused |
Vanus |
3,5 |
3,6 |
32,8 |
<0,001 |
|
Lause pikkus |
4,7 |
5,0 |
182,8 |
<0,001 |
|
|
Vanus : Lause pikkus |
2,2 |
25,0 |
0,9 |
<0,01 |
|
|
Keelejuht |
284,5 |
307,3 |
14,0 |
<0,001 |
|
|
Häälikukiirus |
Hinnang |
Standardviga |
t-statistik |
p |
|
|
12,4 |
0,067 |
186,2 |
<0,001 |
||
|
edf |
Ref.df |
F-statistik |
p |
||
|
Tunnused |
Vanus |
3,4 |
3,5 |
33,6 |
<0,001 |
|
Lause pikkus |
4,9 |
5,0 |
179,7 |
<0,001 |
|
|
Vanus : Lause pikkus |
2,5 |
29,0 |
1,6 |
<0,001 |
|
|
Keelejuht |
290,5 |
307,0 |
20,4 |
<0,001 |
|
Teksti pikkuse mõju silbikestustele on vastupidine selle mõjuga kõnetempole (vrd graafikuid joonisel 1 ja 2): 7–12 silbi pikkuste lausete puhul keskmine silbikestus lüheneb (statistiliselt oluline), lausetes pikkusega 13–18 silpi on silbikestuse muutused ebaolulised, 19–20-silbilistes lausetes on silbid taas pisut pikemad (p < 0,05).
Ootuspärane on ka sõne pikkuse mõju silbikestusele: mida rohkem silpe on sõnes, seda lühemad on silbid (joonis 2). Silpide arvu kasvades lüheneb keskmine silbikestus võrreldes ühesilbilise sõne kestusega vastavalt 20,8 ms, 30,9 ms, 34,9 ms ja 33,5 ms (p < 0,001), silbikestuste erinevused 4–5-silbilistes sõnedes pole olulised.
Tabel 5. Silbikestuste GAM-mudeli väljund.
|
Faktor |
Hinnang |
Standardviga |
t-statistik |
p |
|
|
Silbitüüp |
1LL |
160,7 |
1,5 |
110,7 |
< 0,001 |
|
1PK |
127,4 |
0,7 |
179,4 |
< 0,001 |
|
|
1PL |
94,8 |
0,8 |
116,6 |
< 0,001 |
|
|
2LL |
14,1 |
0,5 |
29,3 |
< 0,001 |
|
|
2PK |
100,0 |
0,8 |
133,2 |
< 0,001 |
|
|
2PL |
136,4 |
6,2 |
22,0 |
< 0,001 |
|
|
Silpe sõnes |
2 |
–20,8 |
1,1 |
–19,5 |
< 0,001 |
|
3 |
–30,9 |
1,1 |
–27,0 |
< 0,001 |
|
|
4 |
–34,9 |
1,3 |
–27,0 |
< 0,001 |
|
|
5 |
–33,5 |
1,9 |
–17,3 |
< 0,001 |
|
|
Interpoleeritud tunnused |
edf |
Ref.df |
F-statistik |
p |
|
|
Vanus |
3,6 |
3,7 |
31,6 |
< 0,001 |
|
|
Lause pikkus |
4,5 |
4,9 |
111,4 |
< 0,001 |
|
|
Vanus : Lause pikkus |
2,8 |
25,0 |
0,5 |
0,09 |
|
|
Keelejuht |
291,2 |
307,0 |
20,9 |
< 0,001 |
|
Joonis 2. GAM-mudeli erinevate selgitavate tunnuste osamõju silbikestustele. y-telg tähistab iga tunnuse osamõju, halli varjundiga alad (ülemistel joonistel) keskväärtuse 95% usaldusvahemikku.ja horisontaalsed kriipsjooned (alumistel joonistel) näitavad tunnuse keskväärtuse standardviga.
3. Arutelu
Erinevalt laste kõne põhitooni (Meister, Meister 2017) ja vokaalide spektraalsete tunnuste variatsioonidest (Meister, Meister 2019) (tingituna kõnetrakti füsioloogia vanuse ja sooga seotud arengust) on kõnetempo muutused seotud eelkõige kõnemotoorika arenguga. Vanuse mõju kõnetempole on ilmne: see kasvab vanuses 10–14 aastat ja kujuneb stabiilseks vanuses 14–18 aastat. Sarnane arengumuster esineb kõigis analüüsitud kõnetempo näitajates (vt tabelit 2). Nagu sissejuhatavas osas kirjeldatud töödes, on ka eesti poiste kõnetempo tüdrukutega võrreldes veidi kiirem, kuid see erinevus pole statistiliselt oluline. Mitme varasema uuringu kohaselt on laste kõne temporaalsed tunnused täiskasvanute kõnega võrreldes akustiliselt variatiivsemad kuni 12 aasta vanuseni (Lee jt 1999) ja artikulatoorselt kuni 14 aasta vanuseni (Smith, Zelaznik 2004). Neid tulemusi on tõlgendatud kui tõendeid täiskasvanutega sarnase kõnemotoorika saavutamisest 12–14 aasta vanuselt (nt Redford, Oh 2017). Teisalt on väidetud, et motoorsete mustrite areng jätkub ka hilisteismeeas (Smith 2006). Seda ilmestavad Valerie Hazani ja Michèle Pettinato (2014) tulemused, mille kohaselt 13–14-aastaste briti laste kõnetempo ei ole veel saavutanud täiskasvanute taset, ja kõnetempo jätkuv kasv vanuses 13–17 aastat heebrea keelt kõnelevatel lastel (Amir, Grinfeld 2011). Lähtudes eelnevast, võime artiklis esitatud kõnetempo ja silbikestuste andmeid tõlgendada nii, et eesti laste kõnemotoorika saavutab stabiilsuse 14 aasta vanuselt ja vanuses 14–18 aastat jätkub artikulatoorse vilumuse lihvimine. 14–18-aastaste keskmine kõnekiirus 5,1 silpi sekundis langeb hästi kokku eesti täiskasvanute loetud kõne kiirusega 4,9–5,3 silpi sekundis.2
Etteantud tekstide lugemisel esineb kõnes pause oluliselt vähem võrreldes spontaanse kõnega, seetõttu on kõne- ja artikulatsioonikiiruse erinevused analüüsitud kõnematerjalis väikesed. Artikulatsiooni- ja kõnekiiruse erinevus on lihtsalt tõlgendatav (joonis 1): pikemate lausete lugemisel tekib vajadus teksti liigendada (nt sõltuvalt lause struktuurist või vajadusest hingata) ja seetõttu pauside hulk ning pikkus kasvavad. Silbikestuste variatsioonid on kõnetempo muutustele vastupidised: kõnetempo kasvades silbikestused lühenevad, sõltuvalt keelejuhi vanusest, silbitüübist ning teksti ja sõne pikkusest (joonis 2), oluline on ka vanuse ja teksti pikkuse vastastikmõju.
Kõnetempo sõltuvust teksti pikkusest on seletatud ennetava lühenemisega, milles kõnet kavandades kohandab kõneleja keskmist silbikestust vastavalt fraasi eeldatavale pikkusele (vt Bishop, Kim 2018). Siinses uuringus osutus teksti pikkuse mõju kõnetempo näitajate ja silbikestuste puhul oluliseks kuni 12 silbi pikkustes lausetes. Neist pikemate tekstide lugemisel jääb kõnetempo stabiilseks ja langeb taas, kui lause on pikem kui 18 silpi, vastavalt pikenevad ka silbikestused (teksti pikkuse osamõju variatsioonid vahemikus 12–18 silpi on statistiliselt ebaolulised). On võimalik, et sellised kõnetempo ja silbikestuste varieerumismustrid on seotud motoorse kavandamisega teksti lugemisel. Kõne kavandamine on järkjärguline protsess ja toimub suhteliselt lühikeste tekstiüksuste, mitte tervete lausete kaupa, sealjuures on kõne kavandamine ja artikuleerimine osalt ajaliselt kattuvad protsessid (Wheeldon 2013). Ka võib üksuse suurus erinevate ülesannete kavandamisel erineda, olles mõjutatud nii lingvistilistest kui ka mittelingvistilistest teguritest (Ganushchak, Chen 2016). Teksti pikkuse mõjust detailsema pildi saamiseks tuleks pikemad laused jagada lühemateks (prosoodilisteks) fraasideks ja teha analüüs fraaside kaupa. See võimaldaks täpsemalt hinnata, kui mitme sõna ulatuses artikulatoorseid protsesse ette kavandatakse.
Kas eesti laste kõnetempo andmed on võrreldavad samaealiste laste kõnetempoga muudes keeltes? Enim andmeid on avaldatud inglise keelt kõnelevate laste kohta, kuid võrreldavaid andmeid on siiski üllatavalt vähe. Võrdluse teeb probleemseks erinev kõnestiil (sageli spontaanne kõne, nt Hazan, Pettinato 2014; Sturm, Seery 2007), erinevad vanuserühmad (valdavalt on uuritud eelkooliealisi ja/või kõnearengu probleemidega 3–6-aastasi lapsi, nt Logan jt 2011; Tumanova jt 2011) ja puudulikud andmed (nt Lee jt 1999 töös on mõõdetud vokaalide kestusi vanuses 5–18 aastat, kuid pole esitatud kõnetempo andmeid). Sobivaimad võrdlusandmed leiduvad Jacewiczi jt (2010) uurimuses, kus Ameerika inglise keelt kõnelevate 8–12-aastaste laste keskmiseks artikulatsioonikiiruseks loetud kõnes on mõõdetud 3,05 silpi sekundis. Eesti 9–12-aastaste laste keskmine artikulatsioonikiirus lugemisel on 4,5 silpi sekundis. USA laste väikesem artikulatsioonikiirus on osalt seletatav sellega, et nad lugesid ainult 7-silbilisi lauseid fookusrõhuga eri sõnadel, mis omakorda pikendab fookusrõhulise sõna silbikestusi ning seega alandab artikulatsioonikiirust veelgi. Näib, et eesti samaealiste laste 7-silbiliste lausete keskmine artikulatsioonikiirus jääb ikkagi kõrgemaks ka fookusrõhu võimalikku mõju maha arvates.
Briti inglise keelega laste spontaanse kõne uuringust (Hazan, Pettinato 2014) saab meie andmetega võrrelda 9–14-aastaste laste keskmisi artikulatsioonikiirusi, mis kasvavad koos vanusega 3,75–4,1 silbini sekundis. Briti näitajad jäävad madalamaks samaealiste eesti laste loetud kõne artikulatsioonikiirusest (4,1–5,2 silpi sekundis).
Osaline vanuseline kokkulangevus on ka heebrea emakeelega laste (vanuses 3–17 aastat) spontaanse kõne uuringuga (Amir, Grinfeld 2011), milles leiti, et artikulatsioonikiirus kasvas vanuses 9–17 aastat vastavalt 5,9–7,7 silbini sekundis ja häälikukiirus 12,4–16,4 häälikuni sekundis. Sealjuures on artikulatsiooni- ja häälikukiiruste kasv peaaegu lineaarne ja eesti lastele omast kõnetempo stabiliseerumist alates 14. eluaastast heebrea laste uuringus ei tuvastatud. Eesti laste vastavad näitajad on 4,1–5,3 silpi sekundis ja 10,3–13,2 häälikut sekundis.
Kahe viimase uuringu andmete võrdlemisel meie andmetega tuleb arvestada spontaanse kõne kiirema kõnetempoga, mis teeb eesti ja briti laste artikulatsioonikiiruste erinevuse veelgi suuremaks, kuid samal ajal lähendab heebrea- ja eestikeelsete laste kõnetempo näitajaid. Eesti, inglise ja heebrea kõnetempo erinevuste võimalikke põhjusi võiks otsida ka keelelistest erisustest. On leitud, et kõnetempo erineb keeliti ja see on sageli ka kuuldeliselt tajutav. Peter Roachi (1998) arvates on tegemist kuuldelise illusiooniga, mis võib olla tingitud eri keelte silbistruktuuride erinevustest: suhteliselt lihtsa silbistruktuuriga keeles (nt jaapani keel) mahub ühte sekundisse rohkem silpe kui keerulisema silbistruktuuriga keeltes (nt inglise) ja seetõttu võidakse lihtsama silbistruktuuriga keele kõnetempot tajuda kiiremana. Kõnetempo võrdlevates uuringutes esitatud andmed näitavad, et semantiliselt identsete tekstide lugemisel eri keeltes on kõnetempo kiireim jaapani ja hispaania keeles (7,8 silpi sekundis) ja aeglasim vietnami ning mandariini keeles (5,2 silpi sekundis), nende vahele jäävad prantsuse (7,2 silpi sekundis), itaalia (7,0 silpi sekundis), inglise (6,2 silpi sekundis) ja saksa (6,0 silpi sekundis) keel (Pellegrino jt 2011). Hilisem uuring hõlmab 17 keelt ja ka selles on arvutatud kiireim kõnetempo jaapani ja hispaania keeles ning aeglasim vietnami ja tai keeles (Coupé jt 2019). Need võrdlused põhinevad küll täiskasvanud keelejuhtide loetud kõnel, kuid võivad selgitada ka laste kõnetempo erinevusi.
4. Kokkuvõte
Artiklis on analüüsitud eesti laste kõnetempo ja silbikestuste variatsioone loetud kõnes sõltuvalt vanusest, soost ja teksti tunnustest. Eesti laste kõnetempo üldine arengumuster on sarnane teiste keeltega (kõnetempo kasvab 12–14 aastani, misjärel see stabiliseerub). Tõlgendades kõnetempo ja silbikestuste variatsioone kui kõnemotoorika arengu peegeldust, stabiliseerub eesti laste kõnemotoorika 14 aasta vanuselt ja selle peenhäälestus jätkub vanuses 14–18. Esitatud kõnetempo ja silbikestuste väärtusi võib käsitleda kui referentsandmeid, mis on iseloomulikud eesti keelt kõnelevatele normaalse keelelise arenguga lastele vanuses 9–18 aastat. Peale keeleteaduse on teave laste kõnetempo varieerumisest oluline normaalse ja hälbiva kõnearengu eristamiseks ning laste kõnehäirete diagnoosimisel.
Töö valmimist on toetanud Euroopa Liit Euroopa Regionaalarengu Fondi kaudu (Eesti-uuringute Tippkeskus) ja riikliku programmi „Eesti keeletehnoloogia” projekt „Kõnetuvastus”.
Einar Meister (snd 1957), PhD, Tallinna Tehnikaülikooli tarkvarateaduse instituudi vanemteadur (Akadeemia tee 15a, 12618 Tallinn), einar.meister@ttu.ee
Lya Meister (snd 1957), PhD, Tallinna Tehnikaülikooli tarkvarateaduse instituudi teadur (Akadeemia tee 15a, 12618 Tallinn), lya.meister@ttu.ee
1 Põhjaliku ülevaate erinevatest kõneloome teooriatest ja mudelitest leiab asjast huvitatud lugeja ajakirja Frontiers in Psychology erinumbrist „Models and Theories of Speech Production” (Gafos, van Lieshout 2020).
2 Täiskavanute kõnetempo võrdlusandmete saamiseks salvestati 11 üliõpilase kõnet, kes lugesid samu lauseid, mida on kasutatud laste kõnetempo analüüsil. Seega on laste ja täiskasvanute kõnetempo andmed hästi võrreldavad.
Kirjandus
VEEBIVARAD
Boersma, Paul; Weenink, David 2020. Praat: doing phonetics by computer. Version 6.1.16. http://www.praat.org (6. VI 2020).
Lippus, Pärtel 2015. plugin_PhonCorpTools. [Arvutiprogramm.] https://gitlab.keeleressursid.ee/partel/plugin_PhonCorpTools/-/blob/master/lisa/SKK_silbitamine.praatscript (12. VI 2020).
RStudio Team 2020. RStudio: Integrated Development for R. RStudio, PBC, Boston, MA. http://www.rstudio.com (20. VI 2020).
Silbitatud korpused. https://cl.ut.ee/korpused/silbikorpus (10. X 2021).
van Rij, Jacolien; Wieling, Martijn; Baayen, Harald; van Rijn, Hedderik 2020. Package ‘itsadug’. https://cran.r-project.org/web/packages/itsadug/itsadug.pdf (20. IX 2020).
KIRJANDUS
Amir, Ofer; Grinfeld, Doreen 2011. Articulation rate in childhood and adolescence: Hebrew speakers. – Language and Speech, kd 54, nr 2, lk 225–240. https://doi.org/10.1177/0023830910397496
Asu, Eva Liina; Lippus, Pärtel; Pajusalu, Karl; Teras, Pire 2016. Eesti keele hääldus. (Eesti keele varamu II.) Tartu: Tartu Ülikooli Kirjastus.
Ballard, Kirrie J.; Robin, Donald A.; Woodworth, George; Zimba, Lynn D. 2001. Age-related changes in motor control during articulator visuomotor tracking. – Journal of Speech, Language, and Hearing Research, kd 44, nr 4, lk 763–777. https://doi.org/10.1044/1092-4388(2001/060)
Barbier, Guillaume; Perrier, Pascal; Payan, Yohan; Tiede, Mark K.; Gerber, Silvain; Perkell, Joseph S.; Ménard, Lucie 2020. What anticipatory coarticulation in children tells us about speech motor control maturity. – PLoS ONE, kd 15, nr 4, e0231484. https://doi.org/10.1371/journal.pone.0231484
Bishop, Jason; Kim, Boram 2018. Anticipatory shortening: Articulation rate, phrase length, and lookahead in speech production. – Proceedings of 9th International Conference on Speech Prosody, lk 235–239. https://doi.org/10.21437/SpeechProsody.2018-48
Bóna, Judit 2014. Temporal characteristics of speech: The effect of age and speech style. – Journal of the Acoustical Society of America, kd 136, nr 2, lk 116–121. https://doi.org/10.1121/1.4885482
Byrd, Dani 1992. Preliminary results on speaker-dependent variation in the TIMIT database. – Journal of the Acoustical Society of America, kd 92, nr 1, lk 593–596. https://doi.org/10.1121/1.404271
Cholin, Joana; Levelt, Willem J. M; Schiller, Niels O. 2006. Effects of syllable frequency in speech production. – Cognition, kd 99, nr 2, lk 205–235. https://doi.org/10.1016/j.cognition.2005.01.009
Chon, Heecheong; Sawyer, Jean; Ambrose, Nicoline G. 2012. Differences of articulation rate and utterance length in fluent and disfluent utterances of preschool children who stutter. – Journal of Communication Disorders, kd 45, nr 6, lk 455–467. https://doi.org/10.1016/j.jcomdis.2012.08.003
Coupé, Christophe; Oh, Yoon Mi; Dediu, Dan; Pellegrino, François 2019. Different languages, similar encoding efficiency: Comparable information rates across the human communicative niche. – Science Advances, kd 5, nr 9, eaaw2594. https://doi.org/10.1126/sciadv.aaw2594
Craik, Fergus I. M.; Byrd, Mark 1982. Aging and cognitive deficits: The role of attentional resources. – Aging and Cognitive Processes. (Advances in the Study of Communication and Affect 8.) Toim F. I. M. Craik, Sandra Trehub. New York: Plenum, lk 191–211. https://doi.org/10.1007/978-1-4684-4178-9_11
Crystal, Thomas H.; House, Arthur S. 1990. Articulation rate and the duration of syllables and stress groups in connected speech. – Journal of the Acoustical Society of America, kd 88, nr 1, lk 101–112. https://doi.org/10.1121/1.399955
Darling-White, Meghan; Banks, Symone Whitney 2021. Speech rate varies with sentence length in typically developing children. – Journal of Speech, Language, and Hearing Research, kd 64, nr 6S, lk 2385–2391. https://doi.org/10.1044/2020_JSLHR-20-00276
Eek, Arvo; Meister, Einar 2003. Foneetilisi katseid ja arutlusi kvantiteedi alalt (I): Häälikukestusi muutvad kontekstid ja välde. – Keel ja Kirjandus, nr 11, lk 815−837.
Fitzsimmons, Mary; Sheahan, Noirin; Staunton, Hugh 2001. Gender and the integration of acoustic dimensions of prosody: Implications for clinical studies. – Brain & Language, kd 78, nr 1, lk 94–108. https://doi.org/10.1006/brln.2000.2448
Gafos, Adamantios; van Lieshout, Pascal (toim) 2020. Models and Theories of Speech Production. – Frontiers in Psychology, kd 10. https://doi.org/10.3389/978-2-88963-928-1
Ganushchak, Lesya Y.; Chen, Yiya 2016. Incrementality in planning of speech during speaking and reading aloud: Evidence from eye-tracking. – Frontiers in Psychology, kd 7. https://doi.org/10.3389/fpsyg.2016.00033
Goffman, Lisa; Smith, Anne 1999. Development and differentiation of speech movement patterns. – Journal of Experimental Psychology: Human Perception and Performance, kd 25, nr 3, lk 649–660. https://doi.org/10.1037/0096-1523.25.3.649
Green, Jordan R.; Moore, Christopher A.; Higashikawa, Masahiko; Steeve, Roger W. 2000. The physiologic development of speech motor control: Lip and jaw coordination. – Journal of Speech, Language, and Hearing Research, kd 43, nr 1, lk 239–255. https://doi.org/10.1044/jslhr.4301.239
Hall, Kelly D.; Amir, Ofer; Yairi, Ehud 1999. A longitudinal investigation of speaking rate in preschool children who stutter. – Journal of Speech, Language, and Hearing Research, kd 42, nr 6, lk 1367–1377. https://doi.org/10.1044/jslhr.4206.1367
Hazan, Valerie; Pettinato, Michèle 2014. The emergence of rhythmic strategies for clarifying speech: Variation of syllable rate and pausing in adults, children and teenagers. – 10th International Speech Production Seminar, Köln, Germany.
Ingham, Janis Costello; Riley, Glyndon 1998. Guidelines for documentation of treatment efficacy for young children who stutter. – Journal of Speech, Language, and Hearing Research, kd 41, nr 4, lk 753–770. https://doi.org/10.1044/jslhr.4104.753
Jacewicz, Ewa; Fox, Robert A.; O’Neill, Caitlin; Salmons, Joseph 2009. Articulation rate across dialect, age, and gender. – Language Variation and Change, kd 21, nr 2, lk 233–256. https://doi.org/10.1017/S0954394509990093
Jacewicz, Ewa; Fox, Robert A.; Wei, Lai 2010. Between-speaker and within-speaker variation in speech tempo of American English. – Journal of the Acoustical Society of America, kd 128, nr 2, lk 839–50. https://doi.org/10.1121/1.3459842
Kent, Ray D.; Forner, Linda L. 1980. Speech segment durations in sentence recitations by children and adults. – Journal of Phonetics, kd 8, nr 2, lk 157–168. https://doi.org/10.1016/S0095-4470(19)31460-3
Kowal, Sabine; Wiese, Richard; O’Connell, Daniel C. 1983. The use of time in storytelling. – Language & Speech, kd 26, nr 4, lk 377–392. https://doi.org/10.1177/002383098302600405
Krause, Peter A.; Kawamoto, Alan H. 2020. On the timing and coordination of articulatory movements: Historical perspectives and current theoretical challenges. – Language and Linguistics Compass, kd 14, nr 6, e12373. https://doi.org/10.1111/lnc3.12373
Künzel, Hermann J. 1997. Some general phonetic and forensic aspects of speaking tempo. – Forensic Linguistics, kd 4, nr 1, lk 48–83. https://doi.org/10.1558/ijsll.v4i1.48
Lee, Alice; Doherty, Rachel 2017. Speaking rate and articulation rate of native speakers of Irish English. – Speech, Language and Hearing, kd 20, nr 4, lk 206–211. https://doi.org/10.1080/2050571X.2017.1290337
Lee, Sungbok; Potamianos, Alexandros; Narayanan, Shrikanth 1999. Acoustics of children’s speech: Developmental changes of temporal and spectral parameters. – Journal of the Acoustical Society of America, kd 105, nr 3, lk 1455–1468. https://doi.org/10.1121/1.426686
Lehiste, Ilse 1974. Interaction between test word duration and length of utterance. – Working Papers in Linguistics, nr 17, lk 160–169.
Levelt, Willem J. M. 1989. Speaking: From Intention to Articulation. (ACL-MIT Press Series in Natural-language Processing.) The MIT Press.
Levelt, Willem J. M.; Roelofs, Ardi; Meyer, Antje S. 1999. A theory of lexical access in speech production. – Behavioral and Brain Sciences, kd 22, nr 1, lk 1–38. https://doi.org/10.1017/s0140525x99001776
Liu, Qiang; Kawamoto, Alan H.; Payne, Katherine K.; Dorsey, Genvieve N. 2018. Anticipatory coarticulation and the minimal planning unit of speech. – Journal of Experimental Psychology: Human Perception and Performance, kd 44, nr 1, lk 139–153. https://doi.org/10.1037/xhp0000443
Logan, Kenneth J.; Byrd, Courtney T.; Mazzocchi, Elizabeth M.; Gillam, Ronald B. 2011. Speaking rate characteristics of elementary-school-aged children who do and do not stutter. – Journal of Communication Disorders, kd 44, nr 1, lk 130–147. https://doi.org/10.1016/j.jcomdis.2010.08.001
Meigh, Kimberly M.; Shaiman, Susan; Tompkins, Connie A.; Verdolini Abbot, Katherine; Nokes-Malach, Timothy 2018. What memory representation is acquired during nonword speech production learning? The influence of stimulus features and training modality on nonword encoding. – Cogent Psychology, kd 5, nr 1, 1493714. https://doi.org/10.1080/23311908.2018.1493714
Meister, Einar; Meister, Lya 2017. Eesti laste kõne I. Põhitooni akustiline analüüs. – Keel ja Kirjandus, nr 7, lk 518–533. https://doi.org/10.54013/kk716a2
Meister, Einar; Meister, Lya 2019. Eesti laste kõne II. Vokaalide akustiline analüüs. – Keel ja Kirjandus, nr 4, lk 282–295. https://doi.org/10.54013/kk737a3
Moore, Christopher A. 2004. Physiologic development of speech production. – Speech Motor Control in Normal and Disordered Speech.Toim Ben Maassen, Raymond Kent, Herman Peters, Pascal van Lieshout, Wouter Hulstijn. New York: Oxford University Press, lk 191–210.
Nip, Ignatius S. B.; Green, Jordan R. 2013. Increases in cognitive and linguistic processing primarily account for increases in speaking rate with age. – Child Development, kd 84, nr 4, lk 1324–1337. https://doi.org/10.1111/cdev.12052
Pellegrino, François; Coupé, Christophe; Marsico, Egidio 2011. A cross-language perspective on speech information rate. – Language, kd 87, nr 3, lk 539–558. https://doi.org/10.1353/lan.2011.0057
Pépiot, Erwan 2014. Male and female speech: A study of mean f0, f0 range, phonation type and speech rate in Parisian French and American English speakers. – Social and Linguistic Speech Prosody: Proceedings of the 7th international conference on Speech Prosody. Toim Nick Campbell, Dafydd Gibbon, Daniel Hirst. Dublin, lk 305–309. https://doi.org/10.21437/SpeechProsody.2014-49
Quené, Hugo 2008. Multilevel modeling of between-speaker and within-speaker variation in spontaneous speech tempo. – Journal of the Acoustical Society of America, kd 123, nr 2, lk 1104–1113. https://doi.org/10.1121/1.2821762
Ramig, Lorraine 1983. Effects of physiological aging on speaking and reading rates. – Journal of Communication Disorders, kd 16, nr 3, lk 217–226. https://doi.org/10.1016/0021-9924(83)90035-7
Redford, Melissa A.; Oh, Grace E. 2017. The representation and execution of articulatory timing in first and second language acquisition. – Journal of Phonetics, kd 63, nr 1, lk 127–138. https://doi.org/10.1016/j.wocn.2017.01.004
Roach, Peter 1998. Some languages are spoken more quickly than others. – Language Myths. Toim Laurie Bauer, Peter Trudgill. London: Penguin, lk 150–158.
Robb, Michael P.; Maclagan, Margaret A.; Chen, Yang 2004. Speaking rates of American and New Zealand varieties of English. – Clinical Linguistics & Phonetics, kd 18, nr 1, lk 1–15. https://doi.org/10.1080/0269920031000105336
Sadagopan, Neeraja; Smith, Anne 2008. Developmental changes in the effects of utterance length and complexity on speech movement variability. – Journal of Speech, Language, and Hearing Research, kd 51, nr 5, lk 1138–1151. https://doi.org/10.1044/1092-4388(2008/06-0222)
Sawyer, Jean; Chon, Heecheong; Ambrose, Nicoline G. 2008. Influences of rate, length, and complexity on speech disfluency in a single-speech sample in preschool children who stutter. – Journal of Fluency Disorders, kd 33, nr 3, lk 220–240. https://doi.org/10.1016/j.jfludis.2008.06.003
Schötz, Susanne; Frid, Johan; Löfqvist, Anders 2013. Development of speech motor control: Lip movement variability. – Journal of Acoustical Society of America, kd 133, nr 6, lk 4210–4217. https://doi.org/10.1121/1.4802649
Sharkey, Susan G.; Folkins, John W. 1985. Variability of lip and jaw movements in children and adults: Implications for the development of speech motor control. – Journal of Speech and Hearing Research, kd 28, nr 1, lk 8–15. https://doi.org/10.1044/jshr.2801.08
Shattuck-Hufnagel, S. 1987. The role of word onset consonants in speech production planning: New evidence from speech error patterns. – Motor and Sensory Processing in Language. Toim Eric Keller, Myrna Gopnik. Hillsdale, NJ: Erlbaum, lk 17–51.
Smith, Anne 2006. Speech motor development: Integrating muscles, movements, and linguistic units. – Journal of Communication Disorders, kd 39, nr 5, lk 331–349. https://doi.org/10.1016/j.jcomdis.2006.06.017
Smith, Anne; Goffman, Lisa 1998. Stability and patterning of speech movement sequences in children and adults. – Journal of Speech, Language, and Hearing Research, kd 41, nr 1, lk 18–30. https://doi.org/10.1044/jslhr.4101.18
Smith, Anne; Goffman, Lisa 2004. Interaction of motor and language factors in the development of speech. – Speech Motor Control in Normal and Disordered Speech. Toim Ben Maassen, Raymond Kent, Herman Peters, Pascal van Lieshout, Wouter Hulstijn. New York: Oxford University Press, lk 225–252.
Smith, Anne; Zelaznik, Howard N. 2004. Development of functional synergies for speech motor coordination in childhood and adolescence. – Developmental Psychobiology, kd 45, nr 1, lk 22–33. https://doi.org/10.1002/dev.20009
Sturm, Jennifer A.; Seery, Carol H. 2007. Speech and articulatory rates of school-age children in conversation and narrative contexts. – Language, Speech, and Hearing Services in Schools, kd 38, nr 1, lk 47–59. https://doi.org/10.1044/0161-1461(2007/005)
Trouvain, Jürgen 2003. Tempo Variations in Speech Production: Implications for Speech Synthesis. Dissertation. Saarbrücken: Universität des Saarlandes.
Tsao, Ying-Chiao; Weismer, Gary 1997. Interspeaker variation in habitual speaking rate: Evidence for a neuromuscular component. – Journal of Speech, Language, and Hearing Research, kd 40, nr 4, lk 858–866. https://doi.org/10.1044/jslhr.4004.858
Tsao, Ying-Chiao; Weismer, Gary; Iqbal, Kamran 2006. Interspeaker variation in habitual speaking rate: Additional evidence. – Journal of Speech, Language, and Hearing Research, kd 49, nr 5, lk 1156–1164. https://doi.org/10.1044/1092-4388(2006/083)
Tumanova, Victoria; Zebrowski, Patricia M.; Throneburg, Rebecca N.; Kulak Kayikci, Mavis E. 2011. Articulation rate and its relationship to disfluency type, duration, and temperament in preschool children who stutter. – Journal of Communication Disorders, kd 44, nr 1, lk 116–129. https://doi.org/10.1016/j.jcomdis.2010.09.001
Verhoeven, Jo; De Pauw, Guy; Kloots, Hanne 2004. Speech rate in a pluricentric language: A comparison between Dutch in Belgium and the Netherlands. – Language and Speech, kd 47, nr 3, lk 297–308. https://doi.org/10.1177/00238309040470030401
Walker, Jean F.; Archibald, Lisa M. D. 2006. Articulation rate in preschool children: A 3-year longitudinal study. – International Journal of Language & Communication Disorders, kd 41, nr 5, lk 541–565. https://doi.org/10.1080/10428190500343043
Wheeldon, Linda 2013. Producing spoken sentences: The scope of incremental planning. – Speech Planning and Dynamics. (Speech Production and Perception 1.) Toim Susanne Fuchs, Melanie Weirich, Daniel Pape, Pascal Perrier. Berlin: Peter Lang, lk 97–118.
Whiteside, Sandra P. 1996. Temporal-based acoustic-phonetic patterns in read speech: Some evidence for speaker sex differences. – Journal of the International Phonetic Association, kd 26, nr 1, lk 23–40. https://doi.org/10.1017/S0025100300005302
Whiteside, Sandra P.; Hodgson, Carolyn 2000. Speech patterns of children and adults elicited via a picture-naming task: An acoustic study. – Speech Communication, kd 32, nr 4, lk 267–285. https://doi.org/10.1016/S0167-6393(00)00013-3
Wieling, Martijn 2018. Analyzing dynamic phonetic data using generalized additive mixed modeling: A tutorial focusing on articulatory differences between L1 and L2 speakers of English. – Journal of Phonetics, kd 70, S1, lk 86–116. https://doi.org/10.1016/j.wocn.2018.03.002
Winkler, Ralf; Brückl, Marcus; Sendlmeier, Walter 2003. The aging voice: An acoustic, electroglottographic and perceptive analysis of male and female voices. – Proceedings of the 15th International Congress of Phonetic Sciences, Barcelona.
Wood, Simon N. 2017. Generalized Additive Models: An Introduction with R. 2. tr. Boca Raton: CRC Press. https://doi.org/10.1201/9781315370279
Xu, Yi 2020. Syllable is a synchronization mechanism that makes human speech possible. – PsyArXiv. https://doi.org/10.31234/osf.io/9v4hr

